Skip to content
EcoRomania™® &  EcoloMania Romania™®

EcoRomania™® & EcoloMania Romania™®

-= Idei pentru viitor =-

Primary Menu
  • ECO – Tehnic
    • Auto
      • Vehicule cu Hidrogen
      • Vehicule Electrice
      • Vehicule Hibride
    • Proiecte – diy
      • Proiecte de Grădinărit Ecologic
      • Proiecte pentru Casă Verde
      • Reciclare și Reutilizare:
    • Proiecte – eco
    • Programe eco
  • Energie Verde
    • Hidrogen și Energie Curată
    • Panouri Solare
      • Fotovoltaice
      • Termice
    • Turbine Eoliene
  • Natura și Mediu
    • Eco-Turism
    • Protecția Naturii
      • Conservarea Faunei și Florii
      • Protejarea Pădurilor și Apelor
      • Legislația de Mediu
    • Ecologie
    • Chimia Mediului
  • Tradiția Românească și Mediu
    • Meșteșuguri și Autenticitate Culturală
    • Produse Tradiționale
    • Sărbători și Obiceiuri în Armonie cu Natura
  • Agricultură Sustenabilă
    • Agricultura Ecologică
    • Agricultură Regenerativă
    • Grădinărit Ecologic
      • Grădini de Flori
      • Grădini de Legume
      • Grădini Medicinale
    • Tehnici Grădinărit Ecologic
  • Știri Ecologice
    • Inițiative Ecologice
    • Politici de Mediu
    • Schimbări Climatice
    • Poluare și Impactul Asupra Mediului
    • Dezastre Naturale și Climatice
  • Video
    • Documentare despre Mediu
    • Interviuri cu Experți în Sustenabilitate
    • Video despre Inovații Ecologice
    • Tutoriale Eco & Bio și Proiecte DIY
    • Produse Eco & Bio Descriere Functionalitate
  • Info
FORUM
  • Home
  • Natura și Mediu
  • 2025
  • noiembrie
  • Centrale nucleare și/sau reactoare de fuziune nucleară, Centrala Nucleară de la Cernavodă – România: Impact asupra mediului
  • Energie Verde
  • Natura și Mediu

Centrale nucleare și/sau reactoare de fuziune nucleară, Centrala Nucleară de la Cernavodă – România: Impact asupra mediului

cimaxcim 11 noiembrie 2025 8 minutes read
Centrala Nucleară de la Cernavodă

Energia nucleară reprezintă una dintre cele mai eficiente și curate surse de electricitate disponibile, având un rol semnificativ în reducerea emisiilor globale de carbon. Această lucrare prezintă o analiză comparativă între centralele nucleare bazate pe fisiune și reactoarele de fuziune nucleară, concentrându-se asupra principiilor fizico-chimice de funcționare, asupra impactului ecologic și asupra perspectivei tehnologice. Rezultatele arată că, deși fisiunea implică riscuri legate de deșeuri radioactive, fuziunea oferă un potențial aproape nelimitat de energie curată, cu impact minim asupra mediului.

 

I. INTRODUCERE

În contextul tranziției energetice globale și al eforturilor de reducere a emisiilor de gaze cu efect de seră, energia nucleară reprezintă o alternativă viabilă la sursele convenționale bazate pe combustibili fosili [1]. Centralele nucleare actuale utilizează fisiunea nucleară pentru a produce energie, în timp ce reactoarele de fuziune se află în faza experimentală, dar promit o revoluție energetică curată și sigură [2].


II. PRINCIPII FIZICO-CHIMICE ALE ENERGIEI NUCLEARE

A. Fisiunea nucleară

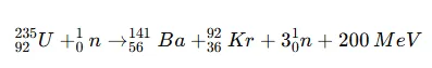
Fisiunea reprezintă procesul prin care un nucleu greu, precum uraniul-235 sau plutoniul-239, se scindează în două nuclee mai ușoare sub acțiunea unui neutron lent, eliberând energie și neutroni secundari.

Reacția de bază este:

Energia rezultată este convertită în căldură, utilizată pentru producerea aburului ce antrenează o turbină și un generator electric [3].

B. Fuziunea nucleară

Fuziunea presupune combinarea a doi nuclei ușori (de obicei deuteriu și tritiu) într-un nucleu mai greu de heliu, cu eliberare de energie conform relației lui Einstein E=Δmc2E = \Delta m c^2E=Δmc2:

Pentru declanșarea reacției sunt necesare temperaturi extreme (100–150 milioane °C) și presiuni ridicate, similare celor din interiorul stelelor. Confinarea plasmatică se realizează prin câmpuri magnetice (tokamak, stellarator) sau prin impulsuri laser (confinare inerțială) [4], [5].


III. IMPACTUL ASUPRA MEDIULUI

A. Emisii și amprenta de carbon

Energia nucleară, indiferent de tip, nu implică arderea combustibililor fosili, deci emisiile directe de CO₂, NOₓ și SO₂ sunt practic inexistente. Analizele de ciclu de viață (LCA) arată emisii medii de aproximativ 12 g CO₂/kWh pentru fisiune, față de 400–900 g CO₂/kWh pentru cărbune sau petrol [6].

B. Deșeuri radioactive și gestionare

Produsele de fisiune (ex. ^137Cs, ^90Sr) au perioade de înjumătățire de zeci sau sute de ani, necesitând depozitare geologică sigură [7].
Reactoarele de generația IV promit reciclarea combustibilului prin conversia izotopilor în reactoare rapide, reducând durata de radioactivitate a deșeurilor la 100–300 ani [8].

În cazul fuziunii, principalele surse radioactive provin din activarea neutronilor asupra pereților camerei de reacție și gestionarea tritiului (^3H), dar acestea sunt mult mai ușor de controlat, având o radioactivitate redusă și un timp de înjumătățire de doar 12,3 ani [9].

C. Riscuri de accidente și siguranță

Accidentele nucleare de tip Cernobîl (1986) și Fukushima (2011) au evidențiat riscurile asociate pierderii sistemelor de răcire și topirii combustibilului.
Reactoarele moderne utilizează sisteme pasive de siguranță bazate pe convecție naturală și absorbție gravitațională a neutronilor, eliminând necesitatea intervenției umane [10].

Fuziunea nucleară, în schimb, prezintă siguranță intrinsecă — reacția se oprește automat în caz de perturbare, fără riscul unui „meltdown” [11].


IV. IMPACTUL CHIMIC ȘI RADIOLOGIC

A. Interacțiuni cu mediul și biosfera

Emisiile de tritiu sub formă de apă tritiată (HTO) pot intra în ecosistemele acvatice, însă la concentrații mult sub limitele stabilite de Organizația Mondială a Sănătății (OMS), de ordinul <1 Bq/L [12].

Izotopii volatili (xenon, krypton) sunt eliberați controlat și se diluează rapid în atmosferă, fără efecte toxice semnificative.

B. Procese chimice induse de radiații

Radiațiile ionizante pot produce specii reactive în apă prin radioliză, după reacția:

​

Aceste radicali liberi pot accelera coroziunea metalelor și degradarea componentelor structurale ale reactorului. Pentru a contracara acest efect, sistemele de răcire mențin pH-ul și concentrația de hidrogen dizolvat într-un interval controlat [13].


V. FUZIUNEA NUCLEARĂ – ENERGIA VIITORULUI

Proiectul internațional ITER (International Thermonuclear Experimental Reactor) din Franța are ca scop demonstrarea funcționării unui reactor cu factor de câștig energetic Q>1, adică producerea unei cantități mai mari de energie decât cea consumată [14].

Combustibilul de fuziune este format din deuteriu (extras din apa de mare) și litiu (pentru generarea tritiului). Rezervele globale de deuteriu sunt practic inepuizabile, ceea ce conferă fuziunii un potențial energetic uriaș și sustenabil [15].


VI. CONCLUZII

Energia nucleară are un impact de mediu semnificativ mai redus comparativ cu sursele convenționale. Fisiunea rămâne o soluție de tranziție importantă, însă fuziunea promite o sursă de energie curată, sigură și aproape nelimitată.

Progresul în domeniul materialelor rezistente la radiații, al gestionării deșeurilor și al tehnologiilor de fuziune controlată va determina direcția viitorului energetic global. Integrarea energiei nucleare cu sursele regenerabile poate asigura o infrastructură energetică sustenabilă și stabilă.

Centrala Nucleară de la Cernavodă – România și impactul asupra mediului

Centrala Nucleară de la Cernavodă este principalul obiectiv energetic nuclear al României și una dintre cele mai moderne instalații de tip CANDU (Canada Deuterium Uranium) din Europa. Aceasta utilizează apă grea (D₂O) atât ca moderator de neutroni, cât și ca agent de răcire, oferind o eficiență ridicată și o fiabilitate recunoscută la nivel internațional.

Construcția complexului a debutat în 1980, iar Unitatea 1 a intrat în exploatare comercială în 1996, urmată de Unitatea 2 în 2007. Fiecare reactor produce aproximativ 700 MW electric, contribuind cu aproape 20% la producția totală de energie electrică a României. Prin utilizarea uraniului natural drept combustibil, tehnologia CANDU permite evitarea proceselor de îmbogățire, reducând costurile și riscurile asociate ciclului nuclear.

Impactul asupra mediului

Din punct de vedere ecologic, Centrala Nucleară de la Cernavodă are un impact semnificativ mai redus asupra mediului comparativ cu centralele pe bază de combustibili fosili. În procesul de funcționare nu se produc emisii de dioxid de carbon (CO₂), oxizi de sulf (SO₂) sau oxizi de azot (NOₓ), iar poluarea aerului este practic nulă. Se estimează că, datorită funcționării celor două unități, România evită anual eliberarea în atmosferă a peste șase milioane de tone de CO₂, contribuind direct la atingerea obiectivelor europene de decarbonizare.

Un aspect esențial al impactului ecologic îl constituie gestionarea apelor de răcire. Centrala utilizează apă din Dunăre pentru răcirea circuitului secundar, apoi o restituie mediului la o temperatură atent controlată, pentru a preveni modificări semnificative ale ecosistemului acvatic. Monitorizările periodice arată că variațiile de temperatură sunt în limitele ecologice admise, fără efecte negative asupra faunei piscicole sau asupra calității apei.

În ceea ce privește radioactivitatea mediului, măsurătorile efectuate în zona Cernavodă indică valori extrem de scăzute, comparabile cu radiația naturală de fond. Emisiile de tritiu și iod radioactiv sunt menținute la niveluri mult sub limitele stabilite de normele internaționale, datorită sistemelor avansate de filtrare și control. Centrala este echipată cu laboratoare specializate care monitorizează continuu aerul, apa, solul și biota, asigurând o supraveghere constantă a mediului înconjurător.

Deșeurile radioactive rezultate din exploatare sunt gestionate într-un sistem sigur, bazat pe depozitare temporară în containere specializate și planuri de depozitare geologică definitivă. Deșeurile lichide și solide sunt tratate, cimentate sau compactate, astfel încât să nu prezinte risc de contaminare.

Pe termen lung, centrala de la Cernavodă are un rol strategic în tranziția României către un sistem energetic cu emisii scăzute, menținând un echilibru între eficiența economică și protecția mediului. Proiectele viitoare de extindere cu Unitățile 3 și 4 vor include tehnologii îmbunătățite de siguranță și monitorizare ecologică, consolidând poziția României ca stat care produce energie nucleară curată și sustenabilă.

Autor: Constantinescu Marius Ionut

Universitatea: F.I.A.B

Disciplina: I.S.B.E

Anul: 2025


REFERINȚE

[1] IAEA, Nuclear Power and the Environment, International Atomic Energy Agency, Vienna, 2023.
[2] World Nuclear Association, Nuclear Energy Overview 2024, London, 2024.
[3] J. Lamarsh, Introduction to Nuclear Engineering, 4th ed., Pearson, 2021.
[4] ITER Organization, Fusion Energy Principles, Cadarache, France, 2023.
[5] NIF, Laser Fusion Experiments Annual Report, U.S. Department of Energy, 2022.
[6] OECD/NEA, Life-cycle Assessment of Nuclear Energy Systems, Paris, 2022.
[7] IAEA, Management of Radioactive Waste from Nuclear Power Plants, Vienna, 2022.
[8] Generation IV International Forum, Technology Roadmap Update, 2021.
[9] W. Stacey, Fusion Plasma Physics, Wiley-VCH, 2020.
[10] U.S. NRC, Advanced Reactor Licensing and Safety Features, Washington D.C., 2023.
[11] M. Kikuchi, Fusion Energy for Future Sustainability, Springer, 2020.
[12] WHO, Guidelines for Drinking-water Quality, 5th ed., Geneva, 2022.
[13] M. V. Glinski et al., “Corrosion Effects in Nuclear Coolants,” J. Nucl. Mater., vol. 556, 2023.
[14] ITER Council, ITER Progress Report 2024, France, 2024.
[15] European Fusion Development Agreement, Fuel Cycle and Safety Assessment, Brussels, 2023.

About the Author

cimaxcim

Administrator

View All Posts

Post navigation

Previous: Anaphite revoluționează producția de baterii: tehnologia de acoperire uscată reduce emisiile de CO₂ cu 3,57 kg pe kWh
Next: Trina Storage obține a opta recunoaștere consecutivă BNEF Tier 1, consolidându-și poziția de lider global în stocarea energiei

Related Stories

TOPCon HOT 3
2 minutes read
  • Energie Verde
  • Fotovoltaice
  • Panouri Solare

JinkoSolar lansează Tiger Neo Bifacial 66 HC Dual Glass 625–650W – un nou reper de eficiență în domeniul fotovoltaic

cimaxcim 3 decembrie 2025 0
Barajul Paltinu
4 minutes read
  • Dezastre Naturale și Climatice
  • Natura și Mediu
  • Poluare și Impactul Asupra Mediului

Criza de la Barajul Paltinu ridică suspiciuni grave: decizia de golire, semnată de ministrul Mediului. Impact major asupra mediului și risc de siguranță națională

cimaxcim 2 decembrie 2025 0
Trinasolar
3 minutes read
  • Energie Verde
  • Știri Ecologice

Trina Storage obține a opta recunoaștere consecutivă BNEF Tier 1, consolidându-și poziția de lider global în stocarea energiei

cimaxcim 26 noiembrie 2025 0

You may have missed

TOPCon HOT 3
2 minutes read
  • Energie Verde
  • Fotovoltaice
  • Panouri Solare

JinkoSolar lansează Tiger Neo Bifacial 66 HC Dual Glass 625–650W – un nou reper de eficiență în domeniul fotovoltaic

cimaxcim 3 decembrie 2025 0
Barajul Paltinu
4 minutes read
  • Dezastre Naturale și Climatice
  • Natura și Mediu
  • Poluare și Impactul Asupra Mediului

Criza de la Barajul Paltinu ridică suspiciuni grave: decizia de golire, semnată de ministrul Mediului. Impact major asupra mediului și risc de siguranță națională

cimaxcim 2 decembrie 2025 0
Marea Unire din 1 Decembrie 1918
4 minutes read
  • Sărbători și Obiceiuri în Armonie cu Natura
  • Tradiție Românească și Mediu Curat

1 Decembrie 1918: Piatră de Temelie a Națiunii Române 2025

cimaxcim 1 decembrie 2025 0
NASA
2 minutes read
  • Hidrogen și Energie Curată
  • Inițiative Ecologice
  • Știri Ecologice

NASA își consolidează infrastructura energetică bazată pe hidrogen

cimaxcim 29 noiembrie 2025 0
Copyright © All rights reserved. | MoreNews by AF themes.